Truss finite elementtruss structure network connected axial elements all joints are pin-joints each member carries constant axial force throughout its length loads applied only the jointssample truss and jointlocal and global dofslocal dofsglobal dofsarbitrarily oriented bararbitrarily oriented bar equationscoordinate transformationtransformationstiffness matrix
Truss Finite Element
Truss Structure
Local and Global DOF’s
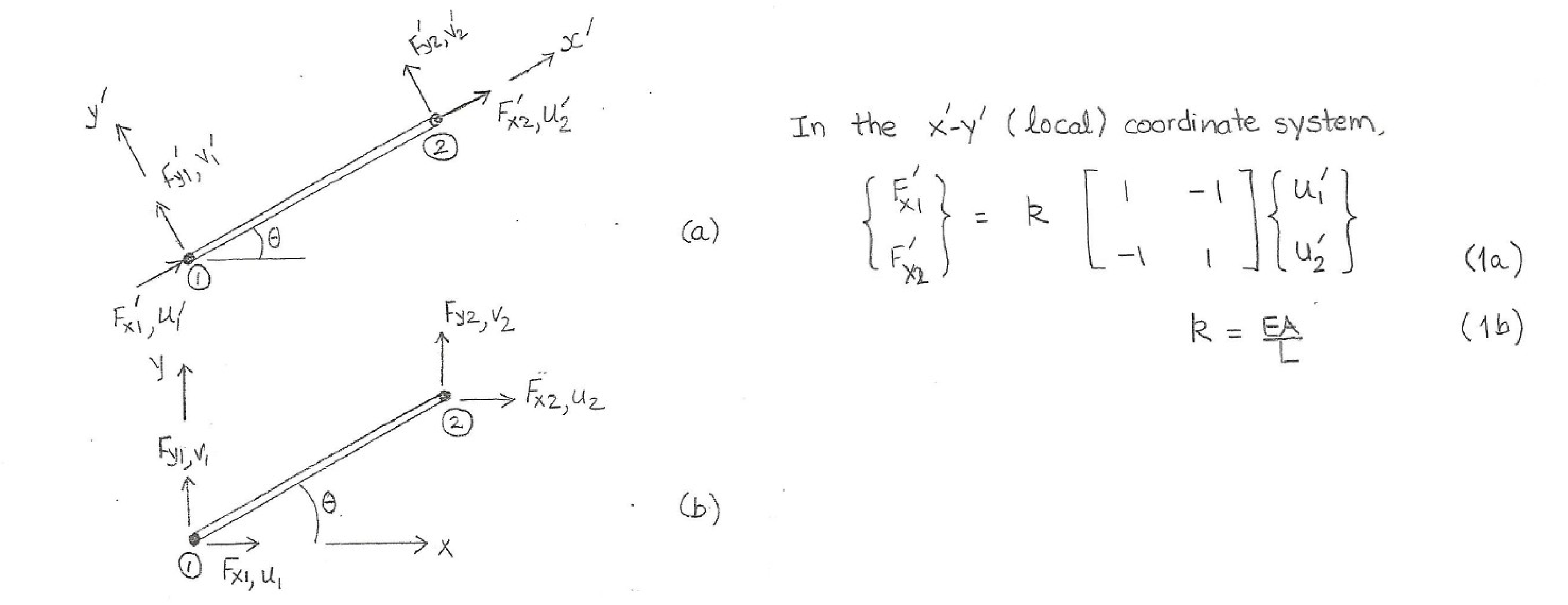
Arbitrarily Oriented Bar Equations
Transformation




