Error normalised error fit statistic minexample estimate fitting model cov
Review: Normal vs Optimal Average�
| X ≡1 | ∑ | Xi | X ˆ | i∑ |
|
|||
|---|---|---|---|---|---|---|---|---|
| N | i | i∑σ i | ≡ | |||||
| ( )= | 1 | |||||||
2 |
||||||||
Must have good error bars.�
Measuring a Feature�A = area under the curve,�
e.g. flux of the star, strength of a spectral line.�
Assume (for now) zero background.�
| Model:� | |||||||||||
|---|---|---|---|---|---|---|---|---|---|---|---|
|
|||||||||||
| � | A ≡ | N |
|
||||||||
| ∑ | |||||||||||
| � | |||||||||||
| i=1 | |||||||||||
| � | N | € | |||||||||
| ∑ | |||||||||||
|
= |
|
|||||||||
| � | |||||||||||
| i=1 | |||||||||||
| � | N | Pi | |||||||||
| ∑ |
|
||||||||||
| � | |||||||||||
| i=1 | |||||||||||
Can we do better? Yes, if the pattern P is known.� €
|
|
||||||||||||||||||||||||||||
|---|---|---|---|---|---|---|---|---|---|---|---|---|---|---|---|---|---|---|---|---|---|---|---|---|---|---|---|---|---|
| |
|||||||||||||||||||||||||||||
| ]= Piσi | ) |
|
|||||||||||||||||||||||||||
| ˆA = |
|
= | i∑ | | Pi | | Xi | | = | i∑ | |||||||||||||||||||
| | | |
|||||||||||||||||||||||||||
| i∑ | | σ i | | Pi | |||||||||||||||||||||||||
| i∑ | i∑ |
|
Pi | |
|
i∑ | Pi | ||||||||||||||||||||||
| | |||||||||||||||||||||||||||||
| σ i | | ||||||||||||||||||||||||||||
| i∑ | Var Xi [ | ] | ( | ) | = | i∑ |
|
||||||||||||||||||||||
| Pi |
|
||||||||||||||||||||||||||||
| = | | Pi | 2 σ i 2 | ||||||||||||||||||||||||||
| | |||||||||||||||||||||||||||||
|
= |
|
||||||||||||||||
|---|---|---|---|---|---|---|---|---|---|---|---|---|---|---|---|---|---|---|
| N | ˆ A = |
|
||||||||||||||||
| A ≡ | ∑ |
|
||||||||||||||||
| i=1 | ||||||||||||||||||
| N | ||||||||||||||||||
| A = A | ∑ | σ2A [ ] | ∑σ i | |||||||||||||||
| Var ˆ A [ ] | 1 | |||||||||||||||||
| i=1 |
|
€ | i∑ | Pi | 2 σ i | |||||||||||||
|
||||||||||||||||||
| Biased if N too small.� | N | |||||||||||||||||
| No bias.� | N | |||||||||||||||||
|
||||||||||||||||||
€
| The “Golden Rule” of |
|---|
| ˆ A = |
|
|||||
|---|---|---|---|---|---|---|
| = | 1 | |||||
| i∑ | Pi | 2 σ i | ||||
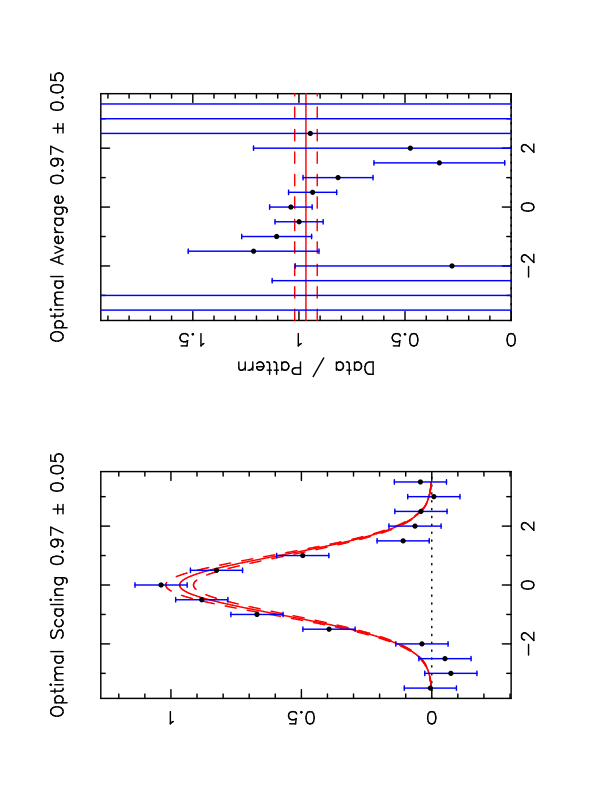
Optimal Average is a special case of Optimal Scaling, with pattern Pi = 1.�
σ i |
χ2 | ![]() |
||||||||||
|---|---|---|---|---|---|---|---|---|---|---|---|---|
| χ2X, σ, α ( | N | N | $ | Xi -µi α ( ) | ||||||||
| ∑ | ∑ | |||||||||||
| & | ||||||||||||
| )≡ | ∑ | = | ∑ | & % |
|
|||||||
| σ i | ||||||||||||
| i=1 | i=1 | |||||||||||
| Best-fit parameters ˆα minimise χ2. | € | |||||||||||
| ( BoF a.k.a. “Goodness-of-Fit” statistic ).� | α ˆ | α | ||||||||||
€
![]() |
||||||
|---|---|---|---|---|---|---|
| χ2= | i∑ | & | Xi −µ |
|
||
| ( ' |
|
|||||
| σ i | ||||||
| Xi −µ | ˆX. | χ2 | ||||||||||
|---|---|---|---|---|---|---|---|---|---|---|---|---|
|
||||||||||||
| ˆµ | i∑ | |||||||||||
| = | ⇒ | = | 2 |
= | ||||||||
|
||||||||||||
![]() |
||||||||||||
| ˆ µ | µ | |||||||||||
Parameter Error Bar: 1-σ from χ2 Curvature�
|
for |
|||||||||||||
|---|---|---|---|---|---|---|---|---|---|---|---|---|---|---|
|
||||||||||||||
|
||||||||||||||
|
||||||||||||||
|
||||||||||||||
|
||||||||||||||
|
|---|
Approximate for non-linear models, BoF(α) not quadratic in α.�

parameter α ?�
2 �
Scaling a Pattern by χ2 minimization�
|
|||||||||||||||||||||||
|---|---|---|---|---|---|---|---|---|---|---|---|---|---|---|---|---|---|---|---|---|---|---|---|
| χ2= | i∑ | # | Xi − A Pi | ||||||||||||||||||||
| % $ | |||||||||||||||||||||||
| σ i | |||||||||||||||||||||||
|
Pi |
|
|||||||||||||||||||||
| i∑ | |||||||||||||||||||||||
|
|||||||||||||||||||||||
| σ2 ˆ A ( ) | 2 | = |
|
||||||||||||||||||||
| ⇒ | i∑ | Xi Pi | = | i∑ | |||||||||||||||||||
| Pi | |||||||||||||||||||||||
| = | ∑ |
|
|||||||||||||||||||||
|
∑ | i | |||||||||||||||||||||
| i | |||||||||||||||||||||||
| ˆ A = | 2
|
. | |||||||||||||||||||||
–Estimating < X > :� µi ≡ Xi = µ
–Scaling a pattern:� µi ≡ Xi = A Pi
|
||||||||||||||||
|---|---|---|---|---|---|---|---|---|---|---|---|---|---|---|---|---|








