Centroids and Moments of Inertia of Plane Areas Help
Centre of gravity:
The point at which the resultant of system of parallel forces formed by the weights of all the particles of the body passes, for all positions of the body is known as centre of gravity.
Centroid:
The centre of plane area of triangle, rectangle, quadrilateral, circle, etc., is known as centroid. The location of centroid of a plane area in an important geometrical property of the area.
Centroid of Plane areas:
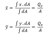
Figure 6.1 shows a plane area A, with its centroid G having its coordinates .
Let us assume a small area dA, having a coordinates x and y.
Figure 6.1 Centroid of Plane Area
The total area,
The first moment of the area about x and y axes respectively can be expressed as follows,
The coordinates of the centroid G are generally equal to the first moments divided by the area itself.
Centroid of irregular areas:
Centroid of Composite Areas:
Many sections that are used in the engineering work involved 2 or more parts composed to form one part. For example, I-section, channel section of regular areas.
Figure 6.3 Centroid of Composite Area
The area and first moment of a composite area can be calculated by summing the corresponding parts as follows:
Example-1 Find the centroid of a 120 mm x 150 mm x 20 mm T section.
Moment of Inertia:
The axial moment of inertia of a plane area is the geometrical property of the area is defined by integrals as follows:
Figure 6.4 Moment of inertia of an arbitrary shape
Where, x and y are the coordinates of the differential element of area dA. This is also called the second moment of area.
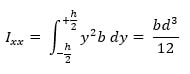
Let us take an example for finding out the second moment of inertia of rectangle as shown in the Figure 6.5.
Thin strip of thickness dy, at a distance y from x-axis.
Then, dA = b dy
Figure 6.5 Rectangular section
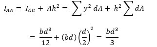
Parallel Axis Theorem:
Statement: The moment of inertia with respect to any axis parallel to the centroidal axis is equal to the moment of inertia with respect to the centroidal axis plus the product of area of the figure and the square of the distance between the axes.
Figure 6.6 shows a plane area with G-G as its centroidal axis.
Figure 6.6 Moment of inertia with centroidal plane
Let AA be any other axis, parallel to the centroidal axis at a distance h from GG axis. Let us consider an elementary area dA at a distance y from the centroidal axis.
This proves the proposition.
From parallel axis theorem, it can be concluded that the moment of inertia increases as the axis is moved parallel to itself farther from the centroid.
To verify this theorem, let us find the moment of inertia of a rectangle shown in the Figure 6.5.
This proves the parallel axis theorem.
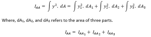
Moment of Inertia of Composite Section:
Statement: The moment of inertial of a composite section is equal to the sum of the moments of inertia of its individual parts.
Figure 6.7 shows a section of three regular areas A1, A2, and A3. The moment of inertia of the whole section about any axis AB is given as,
Figure 6.7 Composite Section
This proves the proposition.
Radius of Gyration:
The square root of moment of inertia divided by the area itself is defined as the radius of gyration. Mathematically, it can be expressed as,
Where, rx and ry are the radius of gyration w.r.t x and y axes respectively. It has the unit of length.
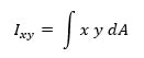
Product of Inertia:
The product of inertia of a plane area is defined by the following integral:
Where, elementary area dA is multiplied by the product of the coordinates of the area. Therefore, product of inertia can be positive, negative or zero.
If one axis is the axis of symmetry, the product of inertia of the area w.r.t the pair of axes is zero.
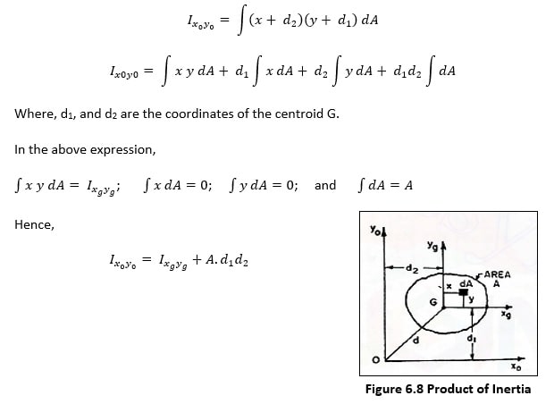
Parallel axis theorem for product of inertia:
Let us derive the parallel axis theorem of product of inertia and is shown in the Figure 6.8.
Therefore, the product of inertia with respect to any pair of axes in its plane is equal to the product of inertia with respect to the parallel centroidal axes plus the product of the area and the coordinates of the centroid with respect to the pair of axes.
Example-2 Find the moments of inertia Ixx and Iyy for a T-section shown in the Fig. (ii).
Solution:
Area of T-Section is given as,
Moments of the individual areas about the base AB is given as,


